Login
Section Industrial Policy

The Diversity of Tourism in Iraq and its Impact on Achieving Sustainable Tourism Development: An Analytical Study of Opinions from a Sample of Tourist Hotels in Baghdad Governorate

Keragaman Pariwisata di Irak dan Dampaknya terhadap Pencapaian Pembangunan Pariwisata Berkelanjutan: Studi Analitis terhadap Pendapat dari Sampel Hotel-Hotel Wisata di Provinsi Baghdad
Vol. 27 No. 1 (2026): January:

Dr. Rasool Salim Maseer (1)

(1) House of Wisdom, Baghdad, Iraq

Abstract:










Background: In many destinations, reliance on limited tourism products creates challenges for sustainability and competitiveness. Knowledge Gap: There is limited integrated analysis of how tourism product diversification aligns with sustainable planning frameworks and destination management strategies. Aims: This study aims to examine the role of tourism diversification in supporting sustainable destination development through planning and management approaches. Results: The findings indicate that diversified tourism products contribute to broader economic opportunities, improved resource utilization, and increased resilience of destinations. Strategic planning and stakeholder involvement are identified as key elements in achieving balanced development. Novelty: This study provides a conceptual integration of tourism diversification and sustainable planning, emphasizing their interconnected roles in destination management. Implications: The results suggest that policymakers and planners should adopt comprehensive diversification strategies supported by sustainable frameworks to ensure long-term destination viability and competitiveness.


Keywords: Tourism Diversification, Sustainable Tourism, Destination Development, Tourism Planning, Economic Growth


Key Findings Highlights



  1. Broader product offerings support economic stability

  2. Planning frameworks guide balanced resource allocation

  3. Stakeholder roles shape long term destination outcomes










The D iversity of tourism in Iraq and its impact on achieving sustainable tourism development: an analytical study of opinions from a sample of tourist hotels in Baghdad Governorate .

Dr. RASOOL SALIM MASEER

Baghdad, Iraq House of Wisdom ,

rasool.s.maseer@alsalam.edu.iq

abstract

This study aims to investigate how tourist diversification—measured by senior management support, tourism equity, and tourism training—influences sustainable tourism development across the social, economic, and environmental dimensions. This special issue, therefore, concerns the degree to which tourism hotels can adopt diversification strategies that would enable long-term potential for tourism. The research population consisted of administrative leaders from 10 hotels in Baghdad Governorate, including: Baghdad; Palestine International; Ishtar Sheraton; Mansour Melia; Babylon Rotana; Royal Tulip; Al-Sadir; Al-Qanat; Crystal Grand Ishtar; and Rixos.

Participants were selected through purposive sampling, informed by a broad solicitation of administrative leaders. 110 questionnaires were mailed, and 108 were returned. This resulted in 105 valid questionnaires to analyse. The aims of the study were achieved using SPSS and AMOS statistical software. The indicators used by these programs were Cronbach's alpha coefficient for reliability, frequencies, percentages, and arithmetic means.

In particular, diversifying tourism has a very positive impact on promoting sustainable development (Jansen et al., 2023). This indicates that the hotels studied understand the significance of management support and training in enhancing their product. The study also put forth an important recommendation: that hotel management embrace what it calls “tourism equity” as an institutional value to achieve equilibrium among tourists, employees, and the environment. It will make Baghdad competitive as a tourist spot.

Keywords: sustainable tourism development, The Diversity of tourism, tourist hotels in Baghdad Governorate

Introduction

A major part of today’s world economy is the tourism industry. What started as a whimsical pastime has burgeoned into a strategic sector that accounts for about 10% of global gross domestic product and employs one in eleven people. Tourism is vital for strengthening the balance of payments and stimulating investment, both at home and abroad. Yet it is the world’s fourth-largest export industry, after oil, chemicals, and food. Given the environmental and social problems facing the world, sustainable tourism development must be pursued to balance a nation's economic growth with the conservation of natural & cultural resources for posterity.

In countries such as Iraq, particularly the capital, Baghdad, it said there was a "critical need" to spread tourism. Such guidelines should necessarily encompass a wide variety of entertaining activities, such as tourism stakeholders' practices, that are oriented towards sustainable development, whilst also ensuring business viability backed by professional management and appropriate working conditions with adequate training opportunities. Wasting economic potential and reducing benefits by not following sustainability guidelines and misusing resources in ways that don't make sense will always have extreme costs. This led the researcher to examine how diversifying tourism might enhance the economic, social, and environmental dimensions of sustainable development in a sample of prominent hotels in Baghdad. The goal of this study is to fill gaps in our understanding of how to leverage the city's cultural and human resources to make the city's hotel industry more sustainable, competitive, and expanding.

The study is organized systematically. It starts with an introductory chapter on basic ideas, then moves to a second chapter that examines the economic, social, and environmental aspects of tourism, and finally concludes with a third chapter that presents the opinions of the surveyed people and draws conclusions and offers suggestions.

  1. Research Methodology
    • The Research Problem
    • The importance of the research
    • Research Objectives
      • The work "Ecotourism and its Impact on Development in Rural Areas" by Ahlam Khan and Souriya Zawi [13] focused on the ecotourism process, integrating rural areas into it to enhance their development. The research found that ecotourism is becoming a key pillar of rural development. It is defined as a form of tourism that provides responsible travel to natural areas, conserving the environment and improving the well-being of local people. It can generate valuable opportunities for environmental protection and economic development (Wagner and Cedeño 2013).
      • In a study titled "Social and Cultural Variables Affecting the Improvement of Ecotourism Quality in Fayoum,"[14] Masoud Ali Abdel Hamid and Nada Mohamed El-Husseini discussed aspects of the natural environment in Egypt that appeal to ecotourism fanatics. The study's findings indicate the role of social work in promoting ecotourism in Fayoum Governorate and its potential to help individuals and groups gain a comprehensive understanding of the environmental problems facing humanity today.
      • A study by Ayed Radhi Khanfar and Iyad Abdul-Ilah Khanfar, titled "Marketing Ecotourism and Biodiversity,"[15] aimed to elevate marketing services to higher levels, explore the possibility of creating a clean environment, increase environmental awareness, and promote ecological balance.
      • A doctoral dissertation by Awanko Hasnal Bahar, titled "The Success of Ecotourism Sites and the Participation of Local Communities in Sabah Island, Malaysia. [16] "
      • A Master's thesis by Michael J. Stone entitled "Ecotourism and Community Development: A Case Study of Hainan, China." [17]
    • Research Hypotheses and the Hypothetical Research M odel
    • Research Methodology:
    • Study Community and Sample

    The theoretical issue examined in this study concerns a knowledge deficit regarding the linkages and associations between tourist diversification methods and facets of sustainable development within the Iraqi hotel sector. The practical issue is the hotels under study's insufficient use of administrative support, equality, and training procedures to diversify their tourism offerings and transcend old patterns. This might squander resources and make the tourist industry in Baghdad Governorate less sustainable in terms of the economy, the environment, and society. Based on what was said previously, the study questions may be put together like this:

    1. How well do the hotel administrative leaders understand the concept and the components of tourist diversification?
    2. How well do Baghdad's tourist hotels follow the three principles for sustainable tourism development?
    3. Do the factors of tourist diversification (administrative support, equity, and training) have a statistically significant effect on attaining sustainable tourism development?

    The significance of this study from a theoretical perspective is to expand the Arab and Iraqi Academic libraries by developing a conceptual framework that links tourism diversification strategies, as an independent variable, to the dimensions of sustainable development, as a dependent variable. And this will help bridge the knowledge gap between how to use administrative support, equity, and training to create sustainability. Its practical importance lies in laying the foundation for a mini-roadmap to help decision-makers at the Ministry of Tourism in Iraq and hotel management within the Baghdad Governorate establish hotel-oriented institutions that support these areas, namely, the green economy and social responsibility. In addition, it provides accurate statistical indicators necessary for creating flexible tourism policies that can withstand economic volatility and secure a sustainable competitive advantage for the hotel industry in the capital.

      1. To identify the understanding of the tourism diversification concept and dimensions among the management of the studied hotels.
      2. To identify the commitment of tourist hotels in Baghdad to implementing the three dimensions of sustainable tourism development.
      3. To identify the statistically significant impact of the dimensions of tourism diversification (management support, equity, and training) on ​​achieving sustainable tourism development.

        The first main hypothesis posits a significant relationship between tourism diversity and sustainable tourism development from the perspective of hotel administrative leadership in Baghdad Governorate. This hypothesis is further divided into the following sub-hypotheses:

        • The first sub-hypothesis states that the dimension of senior management support has a significant impact on sustainable tourism in hotels in Baghdad Governorate.
        • The second sub-hypothesis states that the dimension of tourism equity has a significant impact on sustainable tourism in hotels in Baghdad Governorate.
        • The third sub-hypothesis states that the dimension of tourism training has a significant impact on sustainable tourism in hotels in Baghdad Governorate.

        The Figure below illustrates the hypothetical research model.

        “Figure (1 ) The hypothetical model for the study.”

        “Prepared by the researcher based on the literature.”

        The researcher used a descriptive-analytical approach to examine the role and importance of tourism in sustainable development.

        The study sample was drawn from 10 operational tourist hotels in Baghdad Governorate: the Baghdad Hotel, Palestine International Hotel, Ishtar Sheraton Hotel, Al Mansour Melia Hotel, Babylon Rotana Hotel, Royal Tulip Hotel, Al Sader Hotel, Al Qanat Hotel, Crystal Grand Ishtar Hotel, and Rixos Hotel. These hotels were chosen because they exemplify the hotel sector in the capital and offer a remarkable variety of services, including religious and conference tourism as well as leisure activities. They also have administrative structures and human resources that are continually undergoing training programs, which makes them the best place to see how tourist diversification affects the many facets of the Sustainable Development Goals. The study population comprises the administrative leadership of designated tourist hotels in Baghdad Governorate. Study design, materials, and sample. Our study design was a cross-sectional survey using a purposive sample with the data of interest. A total of 110 employees were invited to participate in this study, and, based on their responses, they represented a generalizable sample for which the results could apply to the entire population. The researcher highlighted individuals in administrative leadership roles who had relevant experience and skills, who were immediately aligned with the goals and purposes of the study, and who were able to significantly contribute to and respond to the questionnaire items. It is defined as the population of 100 and determines the sample size through an organizational chart (Ahmed & Halim, 2017:29). When the questionnaire was distributed and completed, it grew to 110 respondents. Others who responded were not considered. In total, 108 forms were returned; the net number of forms analysed (the sample) was 105. This means both unused forms and those swept. These identifying traits are summarised in the Table below:

        Table 1: Distribution of the study sample

        Classification Variable Categories Frequency %
        Gender Male 76 72.4%
        Female 29 27.6%
        Educational Attainment Diploma 16 15.2%
        Bachelor's degree 67 63.8%
        Postgraduate studies (Master's/PhD) 18 17.1%
        Age Group Under 30 years 13 12.4%
        30-Under 45 years 56 53.3%
        45 years and older 36 34.3%
        Years of Experience Less than 5 years 11 10.5%
        5-15 years 63 60.0%
        Over 15 years 31 29.5%
        Total   105 100%

        Source: Researcher based on data extracted from questionnaire forms

        The Table above shows the demographic and professional traits of the 105 hotel managers in the research. The differences are statistically significant, thereby enhancing the reliability of the findings. For the gender variable, the "male" category had the highest value with 76 frequencies (72.4%). The "female" category was the least optimal, with a frequency of 29(27.6%). The most frequent category was "Bachelor's" (67) with the highest rate of occurrence (63.8%). Occurrences of the “Diploma” category are the lowest (15.2%). The "5-15 years" group had the highest number of persons [(63) (60.0%)] and the highest percent, while the "less than 5 years" group had the lowest number of persons [(11) (10.5%)]. The age group “30 - less than 45 years” had the most participants (56) and the highest percentage (53.3%). There were the fewest people (13, 12.4%) from the age group “less than 30 years.” This indicates that the sample was composed largely of older, experienced individuals who provided accurate responses in line with the study's aims.

        Today, tourism literature concurs that diversification of tourism is a strategy underpinning the management of destinations and hotel facilities. According to Benur & Bramwell (2015), it is a strategic process that aims primarily to diversify and increase the number of tourism products and services sold within a destination, thereby reducing dependence on a dominant tourism model and safeguarding the sector against economic shocks and seasonality. This, however, goes beyond the diversification of activities itself to have deep organizational implications. [1]Therefore, Meena & Vanka (2017) claim that the process of diversification is a universal foundation for investment in human resources and organizational administration, enabling institutions to meet existing tourist demand while improving their competitive advantage. This suggests that diversification is directly associated with whether senior management provides support and training [2].

        Delgado & Palomeque (2014) relate diversification as a destination planning tool to the sustainability of tourist destinations, specifically in how it can geographically and temporally disperse tourist pressure. It is an effort to help protect natural and cultural heritage resources while balancing what visitors seek to do with respect for local communities’ rights. Pratt & Harrison (2015) [3] argue that tourism diversification is a valid development policy for developing countries, as it widens the range of tourist services, creates jobs, and stimulates productive sectors as demand increases [4].

        Combine this vision with Smith & Doe (2018), who argued that diversification is an evolutionary response to changing tourist consumers. This involves providing combinations of cultural experiences, professional services, and leisure activities with beneficial effects on both the time tourists spend in the destination and their spending. From the above, we can conclude that tourism diversification is an integral system of measures to reboot the tourist destination from the centre of narrow specialization through to full pluralization. This is supported by basic administrative support, equity, and technical training, which contribute to achieving sustainable development objectives across its economic, social, and environmental dimensions. [5]

        1. Basic Research Concepts
          • The Concept of Tourism Diversification
          • Dimensions of Tourism Diversification
          • The Concept of Sustainable Tourism Development:
          • The Economic, Social, and Environmental Importance of Sustainable Tourism
          • Improving the balance of payments: This is achieved through the influx of foreign capital for investment in tourism projects, the efficient use of natural resources, and the revenue generated by tourism through economic links with other sectors within the country. This coincides with the economic benefits the country receives from foreign currency earnings from both inbound and domestic tourism demand, which directly and indirectly contribute to increasing the country's GDP and, in turn, to economic development. Furthermore, this industry revitalizes broad segments of society.
          • Creating job opportunities and addressing unemployment: The expansion of the tourism industry and related projects creates new jobs, thereby reducing unemployment. This, in turn, leads to higher income levels and improved well-being for society, as well as increased tourist spending. The direct impact of tourism on job creation extends from the tourism sector itself to related sectors. This sector, by effectively leveraging the tourism sector's potential, involves investing and directing national and foreign capital into economically profitable areas. The private sector has the capacity to enhance the competitive advantages of tourism projects, attract tourists, introduce the latest technologies and equipment, and improve work methods and performance. This necessitates government oversight in formulating a comprehensive strategy, one of whose key elements is the private sector and its role in tourism development.
          • Achieving balanced development among regions:Tourism development leads to the distribution and establishment of new tourism projects across the country's various governorates, especially since cultural, archaeological, and religious sites are distributed from north to south. This means achieving balanced regional development, particularly in economically underdeveloped regions, by creating jobs, improving people's standard of living and well-being, and utilizing the region's natural resources. The distribution of income among regions will help achieve economic balance, redistribute income, and develop these areas as population centers. Consequently, it is possible to reduce migration from underdeveloped areas to more developed areas, as tourism can help revitalize human settlements and communities near or with tourist attractions. It also contributes to deepening cultural awareness among citizens and stimulating the development of the road network to connect underdeveloped areas to more developed areas [8].
          • Raising Health Standards and Promoting Well-being:The goal of improving health standards and promoting well-being across all ages is achieved through sustainable tourism development, as tourism revenues can be reinvested in healthcare services. This aims to improve curative and preventive healthcare, prevent the spread of infectious diseases, and reduce child mortality. Promoting a sense of well-being is a noble goal, as the proposed strategy advocates, calling for achieving happiness for all members of society as the objective of development.
          • Eradicating Illiteracy and Improving the Education System:The problem of illiteracy and child dropout in the early stages of Education remains a serious social issue. Although sincere efforts have reduced the illiteracy rate to approximately 51%, the absolute figures remain truly alarming. Educating them is possible through easy and accessible methods, provided there is political will and a political leadership that believes that leading an educated population contributes significantly to political culture and human civilization. Providing lifelong learning opportunities and developing a well-trained workforce are effective ways to promote sustainable tourism development. The tourism sector can offer incentives in Education and training, thereby facilitating the movement of qualified and trained personnel both domestically and internationally. Young people and women can benefit from training and development programs within the framework of sustainable tourism projects.
          • Preventing Discrimination and Achieving Gender Equality:Sustainable tourism empowers women in various ways, including creating jobs and income-generating opportunities through work in small and medium-sized tourism enterprises. Sustainable tourism can be an effective means of employing women and helping them play an active role in their local communities.
          • Developing Local Communities and Achieving Regional Balance:Sustainable tourism can be an effective tool for fostering local development and reducing disparities among residents. Ecotourism contributes to urban and rural development and reduces regional imbalances by enabling local communities to develop in ways that align with their social and cultural structures. In many countries, tourism can play an important role in sustainable development and in integrating national economies into the global economy.
          • Creating strong institutions that work for peace and social justice: Promoting the development of associations and organizations focused on sustainable development is vital if we want some measure of justice between man and nature. The ability of tourism activities to bring people of different cultures and customs together thus presents a valuable opportunity to cultivate understanding, trust, and tolerance among various cultures and civilizations. This ultimately leads to world peace and minimizes war and violence worldwide. The sustainable development of tourism, therefore, supports local communities, which in turn helps prevent unrest and bloody conflicts and promotes the reform processes of societies emerging from civil wars as they strive to achieve their goals for sustainable development [12].
          • Some Previous Studies Related to the Research Variables:
          • The findings from the field show an advanced level of awareness among decision-makers in the hotel sector in Baghdad about the need for diversifying tourism, which will no doubt be thematized as an irreplaceable strategic alternative. It indicates that senior management is actively factoring diversification into its leadership, service delivery (including equity of service), and workforce development (training) to pave the way for it. It is not only about bringing sunshine to the eyes of tourists; there is passion behind all of this: a transition from classical tourism rules to integrated, competitive services that meet the visitors' requirements.
          • The surveyed hotels showed a clear tendency to keep sustainability principles through economic, social, and ecological aspects. They are also concerned with exploiting global conditions to promote resource conservation, environmental protection, and the health of local communities. This paradigm shift reflects an awareness among hotel management that sustainable returns from the Baghdad market can no longer be based purely on short-term profitability, especially in light of significant capital injection directed towards infrastructure improvements, thus underscoring an increasing acknowledgement of the need to reconcile operational imperatives with a view towards preserving tourism resources for future generations.
          • The findings highlighted the importance of senior management support as a critical, direct driver of hotels' ability to address sustainable development goals. The researcher found that hotel top management's commitment to change and provision of the necessary resources enabled them to implement eco-friendly practices and resource-efficient economic procedures. Leaders can formalise sustainability by ending one-off projects that will not be institutionalised and have no real impact on society.
          • The results of the study indicate that the values of fairness applied in tourism, in its relations with tourists, employees, and various communities, have a direct impact on stability and sustainable development. The distribution of tourism benefits must be equitable and grounded in ethical values in the hotel's operations to foster trust and loyalty. Social sustainability is achieved, alleviating conflicts or negative impacts that may result from unequal tourism flows in Baghdad Governorate.
          • The researcher determines, through hypothesis testing, that there is a significant correlation between tourism training and more efficient sustainability practices. Training programs that emphasize tourism diversity-oriented skills lead employees to adopt new work practices that use energy and resources sustainably, as well as to manage cultural Diversity effectively. Thus, human capital is the most powerful tool for translating this vision of sustainable development from mere theory into daily work practices in the studied hotels.
          • Reinforcing operations related to a diversification strategy (not in going out but in going in): Integration of "tourism diversity" into hotel management long-term strategic planning and operation as part of the daily work method. This may be the center of attraction if you could develop a unique complex of services (cultural, recreational, commercial) beyond the accommodation model, thereby helping them avoid economic crises and seasonality.
          • Sustainability Standards (After the Conclusion of Sustainable Development): The fifth study proposes designing units to monitor sustainability standards and their indirect application in hotels, and to be responsible for renewable energy technologies and energy conservation. This should lead to tangible actions aligned with Environment and Society every day at work.
          • Getting top management on board with greening transformation (compared to management commitment): Hotel upper management should provide independent budgetary allocations for implementing "green hotels" and pursue the use of artificial intelligence technologies for resource use. The most important factors for enabling any sustainable development initiative to succeed are financial support and moral support from management.
          • Adopting a tourism justice charter (vs tourism justice): The study suggests creating an “ethical charter for tourism justice” that fairly distributes hotel revenue between the hotel and surrounding areas and ensures equitable working conditions for employees. It can enhance the corporation's positive reputation, increase tourists' loyalty, and contribute to social stability in Baghdad.
          • Are we creating synergy with specialized tourism training centers (vs. tourism training) as the results will give area or region of attraction a competitive advantage given that to be sur vised by special universities for what type of specialized human resource program can prepare the hotel staff when it comes to more subtile one like sustainability skills & how to manage multi-culture to name a few is necessary in where human resources need technical skills as far as enabler to carry out this diversification effectively plans with full gruesome possibilities.

        The promotion of various forms of tourism is a clear paradigm for this study, according to Meena & Vanka (2017). Thus, tourist diversification in this study shall mean the following: the purpose here was to establish a strategic framework for enhancing a diverse and extensive range of tourism services and activities provided by hotels in this governorate through the optimal utilization of human resources and the organizational environment. These destinations are not the only thing that is diversified, but also operational processes [2]:

        1. Top Management Support is the pillar of the diversification process. This will, in turn, implement the hotel management's commitment to provide financial and technical support for a new tourism model and an innovative setting that enables the hotel to move from narrow specialization to diversified services.
        2. Tourism Justice is reflected in the fair distribution of tourism diversification benefits among stakeholders (workers, tourists, and local society). Making sense of requisite fairness in the treatment of cultural and social Diversity among tourists visiting Baghdad, this strategy preserves an ongoing demand for that hotel to remain competitive in the industry.
        3. Executive Education is the mechanism for making this diversification strategy a reality. The objective is to improve hotel staff's skills in responding to various forms of tourism (conference, medical, and cultural, etc.) by providing a high level of service quality that aligns with Diversity, with an eye on Iraq's diverse tourism product.

        Sustainable and balanced tourism development is defined as development that begins following a comprehensive scientific study within the framework of integrated economic, social, and environmental development planning, at the national level or in regions where tourism development components are concentrated, including natural and cultural attractions [6].

        The European Union for the Environment and National Parks defined sustainable tourism development in 1993 as an activity that preserves the environment, achieves economic and social integration, and enhances the built environment. It is also defined as development that meets and satisfies the needs of current tourists and host communities while ensuring the benefit of future generations. Furthermore, it is development that manages resources to achieve economic, social, and aesthetic benefits while preserving cultural unity, the continuity of ecological processes, biodiversity, and the essential elements of life. Balanced and sustainable tourism development is a recent concept in tourism. It encompasses various programs aimed at achieving continuous, balanced expansion of tourism resources, improving quality, and optimizing productivity across all tourism services, whether for international or domestic tourism. It is a complex, multifaceted process involving numerous interconnected and interacting elements. This process relies on scientific and applied methods to achieve optimal utilization of primary tourism production elements, including natural resources and cultural heritage. It is supported by a comprehensive infrastructure built on scientific and technological advancements, linking this to environmental considerations, the use of new energy sources, and the development of human capital to enable its active role in development programs. This is all done in light of diverse tourism demand that keeps pace with and complements the development of tourism supply. [7]

          Tourism development is a pressing issue for countries worldwide. It is considered an alternative sector and a vital resource, contributing to per capita income and the improvement and expansion of tourism services. Tourism development is an effective and successful economic tool.

          2-4-1 - The Economic Importance of Sustainable Tourism

          Tourism development is a key objective of comprehensive economic development because it can improve the balance of payments, create jobs, generate income, and enhance the quality of life for all members of society. The growing interest in tourism has led to its increasing role in development, encouraging investment in tourism projects through tax exemptions on tourism revenues. It also provides significant opportunities for countries to contribute to infrastructure projects. The tourism sector is a leader in creating linkages with other economic sectors and activities, offering both forward and backward connections.

          The economic importance of tourism development is evident in the following:[8] :

            2-4-2- The Environmental Importance of Sustainable Tourism

            Adopting environmental goals means protecting the environment as a primary means of sustainable development. This is achieved through the optimal use of natural resources, the avoidance of pollution, and the protection of the natural environment by adhering to the maximum carrying capacity of tourist areas. These goals can be summarized as follows: [9]

            1. Protecting Marine Life in Seas and Oceans:Conserving nature and safeguarding marine life are vital to achieving sustainable development. Beach and marine tourism is the backbone of tourism in islands and coastal countries such as Egypt, Lebanon, and Turkey. Marine ecosystems are being secured and protected to remain healthy and pristine. Therefore, sustainable tourism development must be integrated with the management of marine and coastal tourist areas to help preserve marine ecosystems and serve as an effective means of achieving a labor-intensive green economy.
            2. Providing Sanitation and Clean Water Supply:Tourism plays a vital role in sanitation, waste recycling, and clean drinking water supply, as well as in monitoring sources of water, air, and soil pollution. It also promotes the use of clean, safe technologies for water conservation and for its rational, sustainable use.
            3. Widespread Use of Clean Energy Sources [10]:The increasing use of clean energy sources enables tourism to be a powerful driver of the transition from traditional, polluting energy sources to new or renewable energy sources, such as solar and wind power. Encouraging the long-term use of clean, renewable energy sources helps reduce emissions, global warming, and climate change.
            4. Creating Sustainable Cities and Communities:"A city that is uncomfortable for its citizens will also be uncomfortable for tourists." This statement is largely true. Therefore, sustainable tourism development can provide good infrastructure in urban areas and encourage the protection and maintenance of natural and cultural heritage, which are the fixed assets upon which tourism is based. Investing in infrastructure and the green economy adds to the road and transportation network, reduces pollution sources, and preserves open archaeological sites.
            5. Mitigating Climate Change:Tourism both influences and is influenced by climate change, and thus has a significant interest in playing a leading role in the global response to these challenges. Furthermore, reducing energy consumption and transitioning to clean energy sources, especially in the transportation sector, gives tourism a significant advantage in addressing a critical problem that is one of the greatest challenges of our time.[9] .
            6. Preserving Sustainable Agriculture and Vegetation Cover:Protecting and promoting the sustainable use of ecosystems, the non-excessive or unsustainable exploitation of forests and natural resources, and preventing desertification and the degradation of agricultural land will contribute to biodiversity. Natural heritage belongs to all of humanity, and ecotourism can play a significant role, not only in preserving biodiversity but also in protecting ecosystems and achieving ecological balance by reducing and recycling waste, decreasing consumption, and conserving natural resources [11].

            2-4-3- The Social Importance of Sustainable Tourism

            The social and cultural objectives include the social and urban development of citizens, raising their awareness, Education, and appreciation of their country's history and geography, and maximizing opportunities for both foreign tourists and citizens to enjoy travel, tourism, and recreation. These can be summarized as follows [12]:

                The study's findings included the development of sustainable tourism through collaboration between the public and private sectors, encouraging residents to utilize lands adjacent to protected areas and to establish small projects that cater to tourists' needs.

                The study examined indicators of ecotourism success at selected tourist sites, with a focus on local community participation. Its objectives included monitoring and evaluating community participation in ecotourism sites and their success, which is a valuable asset to the industry. The study concluded that local communities should play an active and influential role in decision-making and planning, as the success of ecotourism projects depends to some extent on local community participation.

                  Study Content: This research addresses ecotourism and its role in community development as one of the fastest-growing tourism markets. It has garnered attention from tourism stakeholders in developing countries and economically disadvantaged regions worldwide. Study Objectives: This study aimed to assess the current state of ecotourism in two tourist destinations promoted as regional development strategies. Study Results: The researcher arrived at a set of findings and recommendations, the most important of which is that this study provides planning guidelines that will enhance the potential of ecotourism to generate benefits for both the local community and the tourist destination. This will contribute to the region's overall sustainable development.

                  1. The Practical Side

                  3-1 - Coding Research Scale, Items, and Variables

                  To assess the questionnaire's reliability, the researchers used Cronbach's alpha. The overall dependability of the tourist variety variable is 0.931, while the overall reliability of the sustainable tourism development variable is 0.893, as shown in Table 1. The test findings indicate that the reliability ratio aligns with the study goals and enables the identification of the link between the research variables. The independent variable is tourism diversity, comprising three components: senior management support, tourism equity, and tourism training. The dependent variable is sustainable tourist development, which has three parts: social, economic, and environmental. The researchers used simple codes for the research's variables and dimensions to simplify the statistical analysis.

                  Table 2 shows this: codes for the study variables and dimensions, the number of items, and Cronbach's alpha coefficient for the variables and dimensions.

                  The variable variable symbol Dimensions Dimension symbol Number of paragraphs Cronbach's alpha coefficient for dimensions Cronbach's alpha coefficient for variables Study parameters
                  Tourism diversity DV Senior management support Pbe 3 0.820 0.871 Meena& Vanka, 2017
                  Tourism equity Pco 4 0.784
                  Tourism training Paal 5 0.840
                  Tourism diversity ST Social dimension Etru 4 0.793 0.820 Delgado&Palomeque, 2014
                  Economic dimension Econ 4 0.771
                  Environmental dimension Etri 2 0.830

                  “Source: SPSS output”

                  3-2 - Confirmatory Factor Analysis

                  The researchers validated the confirmatory construct by confirmatory factor analysis, a fundamental use of structural equation modeling. The goal of this study is to figure out what kind of hypothetical model it is. The model consists of underlying variables that represent the presumed dimensions of the scale, and the arrows point to the measured or dependent variables.

                  Table (3) Conformity Quality Indicators

                  Indicators Conformity Quality Rule
                  Comparative Fit Index (CFI) Greater than or equal to 0.90
                  Root Mean Square Error of Approximation (RMSEA) Less than or equal to 0.08
                  Normed Fit Index (NFI) Greater than or equal to 0.90
                  (GFI) Goodness of Fit Index Greater than or equal to 0.90

                  The researcher prepared the source based on Hair, J., Hult, R., Ringle, C., & Sarstedt, M. (2017). A primer on partial least squares structural equation modeling (PLS-SEM. Los Angeles: Sage [18].

                  Figure 2: Confirmatory Factor Analysis of the Tourism Diversity Variable

                  Source: Prepared by the researchers using AMOS v.27

                  Table (4) Factor Bifurcations of the Tourism Diversity Variable

                  Paragraphs S.R.W S.E C.R P
                  Pbe 1 .8920 .2560 4.696 ***
                  Pbe 2 .8740 .1420 4.500 ***
                  Pbe3 .9210 .1640 4.381 ***
                  Pco 1 .8530 .0670 4.693 ***
                  Pco 2 .8510 .0940 4.935 ***
                  Pco 3 775.0 .0570 4.162 ***
                  Pco 4 674.0 .0580 5.191 ***
                  Paal1 .8440 .0620 5.333 ***
                  Paal 2 .8140 .0550 4.553 ***
                  Paal 3 .9040 .0950 5.626 ***
                  Paal 4 .7940 .0520 5.285 ***
                  Paal 5 .7220 .0530 5.254 ***

                  “Source: AMOS v.27 output”

                  Figure 2 demonstrates that all factorial crossovers for the independent variable, tourist diversity, exceed the lower limit of acceptability. The standardized regression weights (S.R.W.) in Table 4 indicate that this variable's data can be used in subsequent statistical analyses. All factorial crossovers for the items were ≥50.0; any items below this threshold were omitted from the analysis. All items had a significance level of less than 0.001 and a critical ratio greater than 1.96 (Hair et al., 2017).

                  Figure (3) Confirmatory Factor Analysis of the Sustainable Tourism Development Variable

                  Source: Prepared by the researchers using AMOS v.27

                  Table (5) Factor Bifurcations of the Dependent Variable Sustainable Tourism Development

                  Paragraphs S.R. W S. E C.R P
                  Etru1 .8030 .1730 3.342 ***
                  Etru 2 .7120 .1430 4.268 ***
                  Etru 3 .7900 .1800 3.448 ***
                  Etru 4 .5840 .1030 5.392 ***
                  Econ1 .8450 .0920 5.010 ***
                  Econ2 .8410 .0740 5.655 ***
                  Econ3 .9140 .0600 5.053 ***
                  Econ4 .8330 .1020 5.096 ***
                  Etri1 .7450 .0470 4.110 ***
                  Etri2 .8520 .0510 4.945 ***

                  “Source: AMOS v.27 output”

                  Figure 3 demonstrates that all factorial crossovers for the items on the Sustainable Tourism Development variable scale exceed the minimal acceptability criterion. The Standardized Regression Weights (S.R.W.) in Table 5 suggest that the data for this variable may be used for further statistical studies. All factorial crossovers for the items were 50 or more; any items with fewer were excluded from the study. All items had a significance level of less than 0.001 and a critical ratio greater than 1.96 (Hair et al., 2017).

                  3-3- Statistics that describe

                  The outcomes of the descriptive analysis using the mean and standard deviation test in SPSS 26 are presented in this section. This section has two axes: the first concerns the tourism diversity variable as an independent variable, with three parts: senior management support for tourists, tourism equity, and tourism training. The second one concerns the sustainable tourism development variable as the dependent variable, with three parts: the social, economic, and environmental dimensions.

                  Table 6 illustrates the degree of preference for the level and direction of response.

                  Table (6) Criteria for the Availability of the Study Variables

                  3-3-1- Descriptive Statistics: Tourism Diversification

                  The arithmetic average for the tourism diversity variable was 3.211, indicating a moderate positive response from the management of Baghdad hotels. However, there is a good understanding of Diversity in hotel activities and services as an economic strategy to face fluctuations and improve sustainability with relative importance (64.2%) despite the variation stated by the standard deviation of 0.959.

                  3-3-2 - Analysis at the Sub-Dimensional Level

                  Table (6) Descriptive Analysis Tourism Diversity

                  Dimensions arithmetic mean standard deviation relative importance Ordinal importance
                  Top management support for tourists 3.257 0.767 65.1% 1
                  Tourism equity 3.145 0.589 62.9% 3
                  Tourism training 3.231 0.911 64.6% 2
                  Tourism diversity 3.211 0.959 64.2%  

                  “Source: SPSS output”

                  3-3-3- Macro-Economic Analysis (Sustainable Tourism Development Variable)

                  The findings show that the level of sustainable tourism development at the surveyed hotels is relatively high, with a mean score of 3.485 and a relative importance of 69.7%. This Figure indicates a high-level commitment from hotel management in Baghdad Governorate to implement sustainability standards. However, there is some variation in worldview, with a standard deviation of 0.778, which is why there is a demand for a holistic management vision to enhance composite performance.

                  3-3-4 - Sub -Dimensional Analysis

                  Table (7) Descriptive Analysis of the Sustainable Tourism Development Variable

                  Dimensions arithmetic mean standard deviation relative importance Ordinal importance
                  Social dimension 3.565 0.634 71.3% 2
                  Economic dimension 3.865 0.789 77.3% 1
                  Environmental dimension 3.026 0.558 60.5% 3
                  Sustainable tourism development 3.485 0.778 69.7% 1

                  “Source: SPSS output”

                  3-4 - Testing the Effects of Relationships

                  This part examines how the research factors interact. The researchers developed a principal study hypothesis that investigates the correlation between tourist variety and sustainable tourism development. We used AMOS v.27 software to test this hypothesis, as follows:

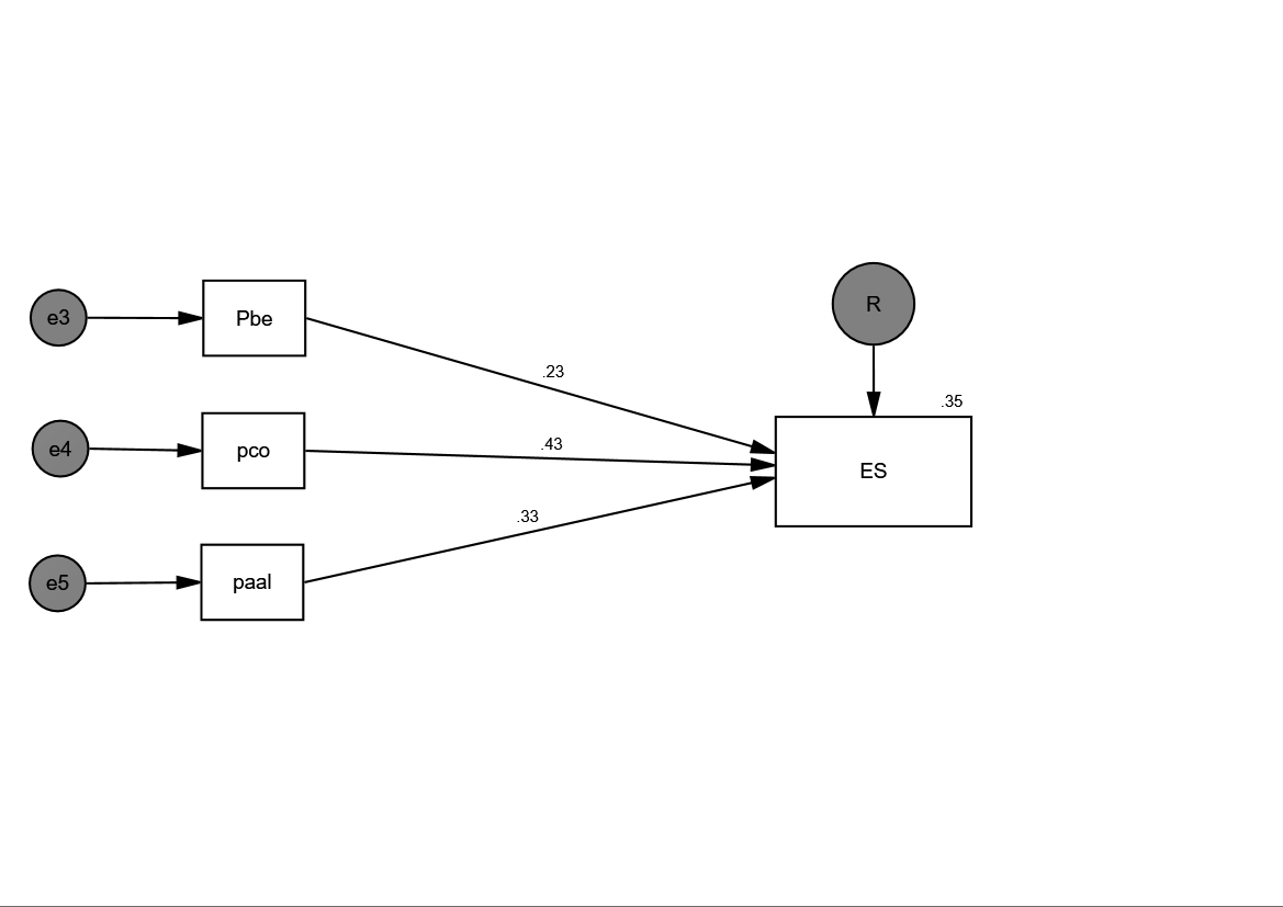
                  This hypothesis suggests a substantial influence of tourist diversity on sustainable tourism development from the perspective of hotel management in Baghdad Governorate. The researchers constructed a structural equation model to ascertain the relationships among the specified variables. Figure 5 shows this test in this way:

                  Figure 4: Testing the hypothesis of the impact of tourism diversity and sustainable tourism development

                  Figure 4 displays the outcomes of the hypothesis test about the relationship between tourism variety and sustainable tourism development. The value of the effect between the research variables was (83.0), as shown in the Table below. The significance level was (0.000), which meant that the hypothesis was accepted. The R² value was 0.69, which means that the tourist diversity variable explains (69%) of the factors that influenced the sustainable tourism development variable. The remaining 31% pertains to characteristics not delineated in the present study.

                  Table 8 demonstrates how tourist diversity affects the growth of sustainable tourism.

                  The path S.R. W S. E C.R R2 P Decision
                  Tourism Diversity (DV) Sustainable Tourism Development (ST) .8320 0.54 16.352 69% *** Accepting the hypothesis

                  “Source: AMOS v.27 output”

                  Table (8) and the results of the statistical analysis show a significant, positive, and moderate impact of tourism diversity on sustainable tourism development in hotels in Baghdad Governorate. This is at a significance level of (0.001), which confirms the hypothesis.

                  Based on the above, the researchers conclude that the greater the Diversity of tourism in hotels in Baghdad Governorate, the greater the tourism development in those hotels.

                   Testing the sub-hypothesis of the impact of tourism diversity on sustainable tourism development: This hypothesis indicates a significant impact of tourism diversity on sustainable tourism development from the perspective of hotel management in Baghdad Governorate hotels, as illustrated in Figure 5 and Table 9.

                  Figure (5) Results of sub-hypothesis testing

                  “Source: AMOS v.27 output”

                  Table (9) Results of sub-hypothesis testing

                  The path Estimate S.E. C.R. R2 P Decision
                  Pbe - ST 0.330 0.063 4.455 0.348 *** Accept
                  poc - ST 0.429 0.065 5.790 *** Accept
                  paal - ST 0.235 0.060 3.173 *** Accept

                  “Source: AMOS v.27 output”

                  • Confirmatory factor analysis of the independent variable, tourism diversity.
                  • Confirmatory factor analysis of the dependent variable: Sustainable Tourism Development
                  • Top Management Support for Tourists: Meanwhile, the measure in this dimension, with the highest arithmetic mean of 3.257 and a relative importance of 65.1%, indicates that top management strongly supports tourism diversification in surveyed hotels. The low standard deviation (0.767) indicates that the sample holds similar views on the importance of management commitment to providing appropriate resources for the transition toward sustainable tourism.
                  • Tourism Training: The second in terms of rank, with a mean value of 3.231 and relative importance of 64.6%. This shows the hotels' conviction that human resource skills facilitate diversion strategies. This not only achieved the first rank but also showed the highest standard deviation (0.911), suggesting a wide variation in the ten hotels' training programs in keeping up with contemporary tourism trends.
                  • Tourism Equity: This dimension ranked third, with a mean of 3.145 and a relative importance of 62.9%. From the sample's perspective, this is also its least influential dimension. Nevertheless, it had the lowest standard deviation of 0.589, indicating a clear consensus among hotel managers that more effort is required to achieve an equitable distribution of tourism income and to resolve conflicts among workers, the natural environment, and the resident community.
                  • Economic Dimension: The first-ranked dimension was economic, whose mean score(3.865) and relative importance (77.3%) showed the magnitude of significance in the QBD factors among specific pillars. This outcome also reflects the surveyed hotels' priority of financial returns, enhancing the balance of payments, and creating job opportunities over anything else, making economic factors the main drivers of tourism development in Baghdad.
                  • Social Dimension: The second dimension was social (mean = 3.565, relative importance = 71.3%). Likewise, this analysis shows management leaders' interest in integrating local communities into the hotel to preserve cultural heritage and empower women and youth. This helps minimize class inequalities and ensure social harmony through various tourism activities primarily supported by these establishments (Barrow, 2006).
                  • Environmental Dimension: The third and least important dimension affecting the commercial property M&A was environmental, with a mean score of 3.026 and a relative importance of 60.5%. Although statistically valid, this result suggests that the application of strict environmental standards (for renewable energy use and waste management) is more valuable than any other dimension. This dimension has the lowest standard deviation (0.558), indicating that there is no disagreement within the study sample regarding the development of environmental policies in hotels as soon as possible.
                  • Testing the primary hypothesis about the relationship between tourism variety and sustainable tourism development:
                  • The first sub-hypothesis posits that the dimension of top management support has a significant impact on sustainable tourism in hotels in Baghdad Governorate. After reviewing Figure (5) and Table (9), a positive effect of (0.33) is found. Since the achieved value of the critical ratio (C.R.) is (4.455), which is greater than (+/- 1.96) at a significance level of (0.00) and less than (0.05), this hypothesis is considered acceptable at the research level. Top management support in hotels plays an important role in attracting tourists, thus leading to tourism diversification and ultimately to tourism sustainability.
                  • The second sub-hypothesis states that the dimension of tourism equity has a significant impact on sustainable tourism in hotels in Baghdad Governorate. After reviewing Figure (5) and Table (9), a positive effect of (0.429) is found. Since the achieved value of the critical ratio (C.R.) is (5.790), which is greater than (+/-1.96) at a significance level of (0.00) and less than (0.05), this hypothesis is considered acceptable at the research level. This means that tourism equity in hotels in Baghdad Governorate contributes to raising the level of tourism sustainability in Iraq.
                  • Third Sub-Hypothesis: This hypothesis posits that the tourism training dimension has a significant effect on sustainable tourism in hotels in Baghdad Governorate. After reviewing (5) and Table (9), it became clear that there is a positive effect of (0.235). Since the achieved value of the critical ratio (C.R.) is (3.173), which is greater than (+/-1.96) at a significance level of (0.00) and less than (0.05), this hypothesis is considered acceptable at the research level. The focus on staff training undoubtedly contributes to achieving tourism sustainability in Baghdad hotels, in particular, and to supporting tourism in Iraq in general.
                  • The results also indicate that the R2 value reached (0.348), meaning that the dimensions of the independent variable, tourism diversity, were able to explain 35% of the dependent variable, sustainable tourism in Baghdad Governorate hotels.
                  1. Conclusions and Recommendations

                  4-1 - Conclusions

                    4-2 - Recommendations

                      Sources and references

                      [1] K. B. Benur and B. Bramwell, "Tourism product development and product diversification in destinations," Tourism Management, vol. 50, pp. 213-224, 2015.

                      [2] M. Meena and S. Vanka, "Strategic dimensions of tourism management: A conceptual framework," Journal of Hospitality and Tourism Management, vol. 14, no. 2, pp. 45-58, 2017.

                      [3] J. Delgado and F. S. Palomeque, "Sustainable tourism indicators as planning tools in cultural destinations," Ecological Indicators, vol. 38, pp. 120-132, 2014.

                      [4] S. Pratt and D. Harrison, Tourism in Pacific Islands: Current Issues and Future Challenges, 1st ed. London, UK: Routledge, 2015.

                      [5] A. Smith and J. Doe, "Economic impact of tourism diversification in urban centers," International Journal of Tourism Research, vol. 19, no. 3, pp. 301-315, 2018.

                      [6] S. Fares, Urban Planning. Amman, Jordan: Dar Al-Yazouri, 2009, p. 11.

                      [7] S. Zein El-Din, Economic Development: A New Approach to Eliminating Public Misery and Improving the National Happiness Index. Cairo, Egypt: Dar Al-Nahda Al-Arabiya, 2016, p. 123. [Online]. Available: http://ethics.unwto.org/en/content/responsible-tourist

                      [8] UNWTO, "Tourism and the Sustainable Development Goals," World Tourism Organization, Madrid, Spain, 2015.

                      [9] M. F. Abdullah, Tourism Planning and Development, 1st ed. Amman, Jordan: Dar Al-Ayyam Publishing and Distribution, 2015, p. 29.

                      [12] UNWTO, "Global Code of Ethics for Tourism," World Tourism Organization, [Online]. Available: http://ethics.unwto.org/en/content/responsible-tourist

                      [11] S. Zein El-Din, Economic Development: A New Approach to Eliminating Public Misery and Improving the National Happiness Index. Cairo, Egypt: Dar Al-Nahda Al-Arabiya, 2016, p. 23.

                      [12] C. Inskeep, National and Regional Tourism Planning: Methodologies and Case Studies. London, UK: Routledge, 1994.

                      [13] A. Khan and S. Zawi, "Ecotourism and its impact on development in rural areas: A case study of some regions in Algeria," Journal of Economics, Finance and Business, University of Shahid Hamma Lakhdar, El Oued, Algeria, 2018.

                      [14] M. A. Abdel Hamid and N. M. Al-Husseini, "Social and cultural variables affecting the improvement of the quality of ecotourism in Fayoum," Journal of Studies in Social Work and Humanities, Helwan University, Egypt, 2015.

                      [15] A. R. Khanfar and I. A. Khanfar, Marketing Ecotourism and Biodiversity: A Theoretical and Applied Framework. Amman, Jordan: Dar Al-Hamid for Publishing and Distribution, 2012.

                      [16] A. H. Bahar, "Ecotourism site success and local community participation in Sabah, Malaysia," Ph.D. dissertation, Univ. Strathclyde, Glasgow, UK, 2004.

                      [17] M. J. Stone, "Ecotourism and community development: Case studies from Hainan, China," Master's thesis, Univ. Waterloo, Ontario, Canada, 2006.

                      [18] J. Hair, R. Hult, C. Ringle, and M. Sarstedt, A Primer on Partial Least Squares Structural Equation Modeling (PLS-SEM). Los Angeles, CA, USA: Sage, 2017.

                      [19] O. P. Akadiri, "Development of a multi-criteria approach for the selection of sustainable materials for building projects," Ph.D. dissertation, Univ. Wolverhampton, Wolverhampton, UK, 2011.

References

K. B. Benur and B. Bramwell, “Tourism Product Development and Product Diversification in Destinations,” Tourism Management, vol. 50, pp. 213–224, 2015.

M. Meena and S. Vanka, “Strategic Dimensions of Tourism Management A Conceptual Framework,” Journal of Hospitality and Tourism Management, vol. 14, no. 2, pp. 45–58, 2017.

J. Delgado and F. S. Palomeque, “Sustainable Tourism Indicators as Planning Tools in Cultural Destinations,” Ecological Indicators, vol. 38, pp. 120–132, 2014.

S. Pratt and D. Harrison, Tourism in Pacific Islands Current Issues and Future Challenges, 1st ed., London, UK: Routledge, 2015.

A. Smith and J. Doe, “Economic Impact of Tourism Diversification in Urban Centers,” International Journal of Tourism Research, vol. 19, no. 3, pp. 301–315, 2018.

S. Fares, Urban Planning, Amman, Jordan: Dar Al-Yazouri, 2009.

S. Zein El-Din, Economic Development A New Approach to Eliminating Public Misery and Improving the National Happiness Index, Cairo, Egypt: Dar Al-Nahda Al-Arabiya, 2016.

UNWTO, “Tourism and the Sustainable Development Goals,” World Tourism Organization, Madrid, Spain, 2015.

M. F. Abdullah, Tourism Planning and Development, 1st ed., Amman, Jordan: Dar Al-Ayyam Publishing and Distribution, 2015.

UNWTO, “Global Code of Ethics for Tourism,” World Tourism Organization.

S. Zein El-Din, Economic Development A New Approach to Eliminating Public Misery and Improving the National Happiness Index, Cairo, Egypt: Dar Al-Nahda Al-Arabiya, 2016.

C. Inskeep, National and Regional Tourism Planning Methodologies and Case Studies, London, UK: Routledge, 1994.

A. Khan and S. Zawi, “Ecotourism and Its Impact on Development in Rural Areas A Case Study of Some Regions in Algeria,” Journal of Economics Finance and Business, University of Shahid Hamma Lakhdar, 2018.

M. A. Abdel Hamid and N. M. Al-Husseini, “Social and Cultural Variables Affecting the Improvement of the Quality of Ecotourism in Fayoum,” Journal of Studies in Social Work and Humanities, Helwan University, 2015.

A. R. Khanfar and I. A. Khanfar, Marketing Ecotourism and Biodiversity A Theoretical and Applied Framework, Amman, Jordan: Dar Al-Hamid, 2012.

A. H. Bahar, “Ecotourism Site Success and Local Community Participation in Sabah Malaysia,” Ph.D. Dissertation, University of Strathclyde, Glasgow, UK, 2004.

M. J. Stone, “Ecotourism and Community Development Case Studies from Hainan China,” Master’s Thesis, University of Waterloo, Canada, 2006.

J. Hair, R. Hult, C. Ringle, and M. Sarstedt, A Primer on Partial Least Squares Structural Equation Modeling PLS SEM, Los Angeles, CA, USA: Sage, 2017.

O. P. Akadiri, “Development of a Multi Criteria Approach for the Selection of Sustainable Materials for Building Projects,” Ph.D. Dissertation, University of Wolverhampton, UK, 2011.